Iklan
Pertanyaan
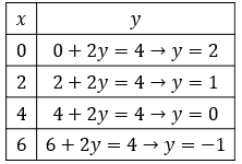
Gambar dari persamaan x + 2y = 4 adalah ....





Iklan
H. Nufus
Master Teacher
Mahasiswa/Alumni Universitas Negeri Surabaya
5
5.0 (1 rating)
Iklan
RUANGGURU HQ
Jl. Dr. Saharjo No.161, Manggarai Selatan, Tebet, Kota Jakarta Selatan, Daerah Khusus Ibukota Jakarta 12860
Produk Ruangguru
Bantuan & Panduan
Hubungi Kami
©2025 Ruangguru. All Rights Reserved PT. Ruang Raya Indonesia