Iklan

Pertanyaan

Faktor prima dari 30 adalah ....

Faktor prima dari  adalah ....

  1. 3 dan 5 

  2. 2 dan 3 

  3. 2, 3, dan 5 

  4. 3, 5, dan 7 

Ikuti Tryout SNBT & Menangkan E-Wallet 100rb

Habis dalam

02

:

13

:

24

:

04

Klaim

Iklan

A. C

Master Teacher

Jawaban terverifikasi

Jawaban

jawaban yang tepat adalah C.

jawaban yang tepat adalah C.

Pembahasan

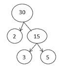
Dengan menggunakan pohon faktor Didapat bahwa . Dengan demikian, faktor prima dari 30 adalah dan . Jadi, jawaban yang tepat adalah C.

Dengan menggunakan pohon faktor

 

Didapat bahwa begin mathsize 14px style 30 equals 2 cross times 3 cross times 5 end style.

Dengan demikian, faktor prima dari 30 adalah undefined dan undefined.

Jadi, jawaban yang tepat adalah C.

Perdalam pemahamanmu bersama Master Teacher
di sesi Live Teaching, GRATIS!

81

Iklan

Pertanyaan serupa

Faktor prima dari 54 adalah ....

1

0.0

Jawaban terverifikasi

RUANGGURU HQ

Jl. Dr. Saharjo No.161, Manggarai Selatan, Tebet, Kota Jakarta Selatan, Daerah Khusus Ibukota Jakarta 12860

Coba GRATIS Aplikasi Roboguru

Coba GRATIS Aplikasi Ruangguru

Download di Google PlayDownload di AppstoreDownload di App Gallery

Produk Ruangguru

Hubungi Kami

Ruangguru WhatsApp

+62 815-7441-0000

Email info@ruangguru.com

[email protected]

Contact 02130930000

02130930000

Ikuti Kami

©2026 Ruangguru. All Rights Reserved PT. Ruang Raya Indonesia