Iklan

Pertanyaan

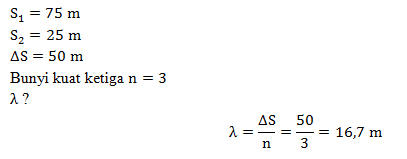
Dua buah sumber bunyi identik berjarak 100 m dinyalakan serempak. Jika Evan berjarak 25 m dari salah satu sumber dan mendengar bunyi kuat ketiga, maka panjang gelombang dari sumber bunyi tersebut adalah .…

Dua buah sumber bunyi identik berjarak 100 m dinyalakan serempak. Jika Evan berjarak 25 m dari salah satu sumber dan mendengar bunyi kuat ketiga, maka panjang gelombang dari sumber bunyi tersebut adalah .…

  1. 16,7 m

  2. 25,05 m

  3. 33,4 m

  4. 50,1 m

  5. 66,8 m

Ikuti Tryout SNBT & Menangkan E-Wallet 100rb

Habis dalam

00

:

18

:

19

:

56

Klaim

Iklan

Y. Frando

Master Teacher

Mahasiswa/Alumni Universitas Negeri Yogyakarta

Jawaban terverifikasi

Pembahasan

Perdalam pemahamanmu bersama Master Teacher
di sesi Live Teaching, GRATIS!

1

Noval Deta

Pembahasan tidak menjawab soal Pembahasan tidak lengkap

Porto Ackerman

Jawaban tidak sesuai

Iklan

Pertanyaan serupa

Dua sumber bunyi berjarak 10 m memiliki frekuensi sama. Pada jarak 4,8 m dari sumber bunyi pertama, seorang pendengar mendengarkan interferensi minimum yang pertama kali. Jika diketahui kecepatan buny...

4

4.2

Jawaban terverifikasi

RUANGGURU HQ

Jl. Dr. Saharjo No.161, Manggarai Selatan, Tebet, Kota Jakarta Selatan, Daerah Khusus Ibukota Jakarta 12860

Coba GRATIS Aplikasi Roboguru

Coba GRATIS Aplikasi Ruangguru

Download di Google PlayDownload di AppstoreDownload di App Gallery

Produk Ruangguru

Hubungi Kami

Ruangguru WhatsApp

+62 815-7441-0000

Email info@ruangguru.com

[email protected]

Contact 02130930000

02130930000

Ikuti Kami

©2026 Ruangguru. All Rights Reserved PT. Ruang Raya Indonesia