Iklan

Pertanyaan

Dua buah kapasitor identik mula – mula belum bermuatan akan dihubungkan dengan baterai 10 V. Bila hanya salah satunya saja yang dihubungkan dengan baterai 10 V tersebut, energi yang tersimpan dalam kapasitor adalah E. Energi yang akan tersimpan bila kedua kapasitor tadi dihubungkan secara seri dengan baterai adalah ... . (UMPTN 2001 Rayon A)

Dua buah kapasitor identik mula – mula belum bermuatan akan dihubungkan dengan baterai 10 V. Bila hanya salah satunya saja yang dihubungkan dengan baterai 10 V tersebut, energi yang tersimpan dalam kapasitor adalah E. Energi yang akan tersimpan bila kedua kapasitor tadi dihubungkan secara seri dengan baterai adalah ... .(UMPTN 2001 Rayon A)

  1. begin mathsize 12px style 1 fourth E end style

  2. begin mathsize 12px style 1 half E end style

  3. E

  4. 2E

  5. 4E

Ikuti Tryout SNBT & Menangkan E-Wallet 100rb

Habis dalam

02

:

20

:

12

:

57

Klaim

Iklan

Y. Frando

Master Teacher

Mahasiswa/Alumni Universitas Negeri Yogyakarta

Jawaban terverifikasi

Pembahasan

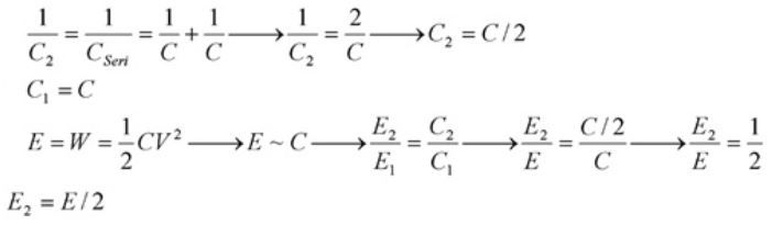
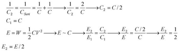
Energi kedua kapasitor saat dihubungkan dengan baterai dapat dihitung dengan :

Energi kedua kapasitor saat dihubungkan dengan baterai dapat dihitung dengan :

Perdalam pemahamanmu bersama Master Teacher
di sesi Live Teaching, GRATIS!

1

Iklan

Pertanyaan serupa

Tiga buah kapasitor dengan kapasitansi masing-masing 1 mF, 2 mF, dan 3mF dirangkai secara seri dan diberi tegangan 1 volt pada ujung ujungnya. Perhatikan beberapa pernyataan berikut ini! Masi...

3

0.0

Jawaban terverifikasi

RUANGGURU HQ

Jl. Dr. Saharjo No.161, Manggarai Selatan, Tebet, Kota Jakarta Selatan, Daerah Khusus Ibukota Jakarta 12860

Coba GRATIS Aplikasi Roboguru

Coba GRATIS Aplikasi Ruangguru

Download di Google PlayDownload di AppstoreDownload di App Gallery

Produk Ruangguru

Hubungi Kami

Ruangguru WhatsApp

+62 815-7441-0000

Email info@ruangguru.com

[email protected]

Contact 02130930000

02130930000

Ikuti Kami

©2026 Ruangguru. All Rights Reserved PT. Ruang Raya Indonesia