Iklan
Pertanyaan
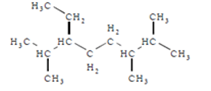
Diketahui struktur berikut.

Jumlah atom C primer, sekunder, tersier dan kuartener berturut-turut adalah….…
5,5,2,1
6,2,2,3
5,3,3,2
5,6,0,2
6,3,4,0
Iklan
S. Susanti
Master Teacher
Mahasiswa/Alumni Universitas Jayabaya
1
5.0 (1 rating)
Iklan
RUANGGURU HQ
Jl. Dr. Saharjo No.161, Manggarai Selatan, Tebet, Kota Jakarta Selatan, Daerah Khusus Ibukota Jakarta 12860
Produk Ruangguru
Bantuan & Panduan
Hubungi Kami
©2026 Ruangguru. All Rights Reserved PT. Ruang Raya Indonesia