Iklan

Pertanyaan

Diketahui sistem pertidaksamaan 3 x + 2 y ≥ 12 , x + 2 y ≥ 8 , x ≥ 0 , y ≥ 0 . Nilai minimum dari bentuk ( 4 x + 6 y ) pada daerah himpunan penyelesaian sistem pertidaksamaan tersebut adalah....

Diketahui sistem pertidaksamaan . Nilai minimum dari bentuk pada daerah himpunan penyelesaian sistem pertidaksamaan tersebut adalah....

  1. 24

  2. 26

  3. 32

  4. 36

  5. 38

Ikuti Tryout SNBT & Menangkan E-Wallet 100rb

Habis dalam

01

:

10

:

59

:

03

Klaim

Iklan

N. Rahayu

Master Teacher

Mahasiswa/Alumni Universitas Negeri Jakarta

Jawaban terverifikasi

Jawaban

nilai minimum fungsi objektif dari adalah 26.

nilai minimum fungsi objektif dari open parentheses 4 x plus 6 y close parentheses adalah 26.

Pembahasan

Dari sistem pertidaksamaan dapat dibentuk grafik pertidaksamaan sebagai bertikut. Menentukan titik potong kedua sumbu, yaitu: Sehingga didapat grafik pertidaksamaan dari sistem pertidaksamaan sebagai berikut: Dari gambar grafik di atas, didapat titik-tititk objektif pada daerah himpunan penyelesaian, yaitu (8,0),(0,6) dan titik potong dari kedua garis. Titik potong dari dua garis dapat diselesaikan melalui metode eliminasi dan subtitusi. Didapat titik potong dari kedua garis yaitu (2,3) Sehingga nilai minimum fungsi objektif dari bentuk didapat: Jadi, nilai minimum fungsi objektif dari adalah 26.

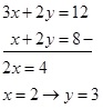
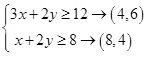
Dari sistem pertidaksamaan 3 x plus 2 y greater or equal than 12 comma space x plus 2 y greater or equal than 8 comma space x greater or equal than 0 comma space y greater or equal than 0 dapat dibentuk grafik pertidaksamaan sebagai bertikut.

Menentukan titik potong kedua sumbu, yaitu:

Sehingga didapat grafik pertidaksamaan dari sistem pertidaksamaan sebagai berikut:

Dari gambar grafik di atas, didapat titik-tititk objektif pada daerah himpunan penyelesaian, yaitu (8,0),(0,6) dan titik potong dari kedua garis. Titik potong dari dua garis dapat diselesaikan melalui metode eliminasi dan subtitusi.

Didapat titik potong dari kedua garis yaitu (2,3)

Sehingga nilai minimum fungsi objektif dari bentuk open parentheses 4 x plus 6 y close parentheses  didapat:

Jadi, nilai minimum fungsi objektif dari open parentheses 4 x plus 6 y close parentheses adalah 26.

Perdalam pemahamanmu bersama Master Teacher
di sesi Live Teaching, GRATIS!

2

Alzena Faiq Nafiah

Mudah dimengerti

Elfiana

Jawaban tidak sesuai

Safitri

Jawaban tidak sesuai

Iklan

Pertanyaan serupa

Seorang pengusaha otomotif ingin membeli sepeda dan motor sebanyak 25 buah untuk persediaan. Harga sebuah sepeda Rp1.500.000,00 dan harga sebuah motor Rp13.000.000,00. Modal yang dimiliki pengusaha te...

1

5.0

Jawaban terverifikasi

RUANGGURU HQ

Jl. Dr. Saharjo No.161, Manggarai Selatan, Tebet, Kota Jakarta Selatan, Daerah Khusus Ibukota Jakarta 12860

Coba GRATIS Aplikasi Roboguru

Coba GRATIS Aplikasi Ruangguru

Download di Google PlayDownload di AppstoreDownload di App Gallery

Produk Ruangguru

Hubungi Kami

Ruangguru WhatsApp

+62 815-7441-0000

Email info@ruangguru.com

[email protected]

Contact 02130930000

02130930000

Ikuti Kami

©2026 Ruangguru. All Rights Reserved PT. Ruang Raya Indonesia