Iklan

Pertanyaan

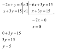
Diketahui sistem persamaan linear dua variabel − 2 x + y = 5 dan x + 3 y = 15 . Hasil dari x − y adalah....

Diketahui sistem persamaan linear dua variabel  dan Hasil dari  adalah....

  1. -5

  2. -1

  3. 1

  4. 5

Ikuti Tryout SNBT & Menangkan E-Wallet 100rb

Habis dalam

02

:

06

:

38

:

35

Klaim

Iklan

N. Mustikowati

Master Teacher

Mahasiswa/Alumni Universitas Negeri Jakarta

Jawaban terverifikasi

Pembahasan

Nilai x - y = 0 - 5 = -5.

Nilai x - y = 0 - 5 = -5.

Perdalam pemahamanmu bersama Master Teacher
di sesi Live Teaching, GRATIS!

1

Iklan

Pertanyaan serupa

Harga satu kaus dan dua celana Rp150.000,00sedangkanharga 3 kaus dan 3 celana Rp270.000,00. Harga 2 kaus dan 5 celana adalah.…

1

4.0

Jawaban terverifikasi

RUANGGURU HQ

Jl. Dr. Saharjo No.161, Manggarai Selatan, Tebet, Kota Jakarta Selatan, Daerah Khusus Ibukota Jakarta 12860

Coba GRATIS Aplikasi Roboguru

Coba GRATIS Aplikasi Ruangguru

Download di Google PlayDownload di AppstoreDownload di App Gallery

Produk Ruangguru

Hubungi Kami

Ruangguru WhatsApp

+62 815-7441-0000

Email info@ruangguru.com

[email protected]

Contact 02130930000

02130930000

Ikuti Kami

©2026 Ruangguru. All Rights Reserved PT. Ruang Raya Indonesia