Iklan
Pertanyaan
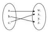
Diantara fungsi-fungsi berikut, yang merupakan fungsi surjektif tetapi BUKAN fungsi bijektif adalah …




Iklan
H. Eka
Master Teacher
Mahasiswa/Alumni Universitas Pendidikan Indonesia
1
4.2 (9 rating)
indah
Pembahasan lengkap banget Ini yang aku cari! Mudah dimengerti Bantu banget
Geysha Febrianti
Makasih ❤️ Pembahasan lengkap banget Mudah dimengerti Bantu banget
Juptima Doro
Bantu banget Makasih ❤️
Iklan
RUANGGURU HQ
Jl. Dr. Saharjo No.161, Manggarai Selatan, Tebet, Kota Jakarta Selatan, Daerah Khusus Ibukota Jakarta 12860
Produk Ruangguru
Bantuan & Panduan
Hubungi Kami
©2026 Ruangguru. All Rights Reserved PT. Ruang Raya Indonesia