Iklan
Pertanyaan
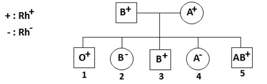
Di bawah ini merupakan diagram keturunan dari suatu keluarga.

Dari kelima anak tersebut, tiga diantaranya sudah menikah. Individu 1 menikah dengan perempuan bergolongan darah B+ dan menghasilkan keturunan dengan golongan darah B- dan O+. Individu 2 menikah dengan laki-laki bergolongan darah A+ dan menghasilkan keturunan bergolongan darah O-. Sementara individu 3 menikah dengan perempuan bergolongan darah A- dan melahirkan anak laki-laki bergolongan darah A+. Berdasarkan pernyataan di atas maka pernyataan yang benar adalah…
Suami individu 2 memiliki genotip homozigot pada gen penentu golongan darah rhesusnya
Istri individu 1 memiliki dua alel dominan pada lokus penentu golongan darah ABO
Individu 4 mendapatkan alel IO dari ibunya dan sepasang alel Irh dari ayah dan ibunya
Anak laki-laki individu 3 bersifat heterozigot pada gen-gen penentu golongan darahnya
Jika individu 5 menikah dengan perempuan bergolongan darah O-, maka semua keturunannya pasti bergolongan darah A+ dan B+
Iklan
A. Handoko
Master Teacher
1
0.0 (0 rating)
Iklan
RUANGGURU HQ
Jl. Dr. Saharjo No.161, Manggarai Selatan, Tebet, Kota Jakarta Selatan, Daerah Khusus Ibukota Jakarta 12860
Produk Ruangguru
Bantuan & Panduan
Hubungi Kami
©2026 Ruangguru. All Rights Reserved PT. Ruang Raya Indonesia