Iklan

Pertanyaan

Di antara senyawa alkena berikut yang memiliki isomer geometri cis-trans adalah ....

Di antara senyawa alkena berikut yang memiliki isomer geometri cis-trans adalah .... 

  1. 1-heksenaundefined 

  2. 2-metil-2-pentenaundefined 

  3. 1-butenaundefined 

  4. 2-heksenaundefined 

  5. 2,3-dimetil-2-pentenaundefined 

Ikuti Tryout SNBT & Menangkan E-Wallet 100rb

Habis dalam

02

:

09

:

03

:

28

Klaim

Iklan

S. Lubis

Master Teacher

Jawaban terverifikasi

Jawaban

jawaban yang tepat adalahD.

jawaban yang tepat adalah D.space 

Pembahasan

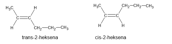
Salah satu syarat isomergemoetri cis-trans pada alkena adalah di sebelah kiri dan kanan ikatan C=C harus mengikat 2 gugus yang berbeda. Pada opsi D yaitu 2-heksena, gambar strukturnya adalah sebagai berikut. Jika dibuat sudut, masing-masing atom C dalam C=C memiliki 2 gugus yang berbeda dengan struktur dan nama sebagai berikut. Dengan demikian, senyawa alkena yang memiliki isomer geometri cis-trans adalah 2-heksena . Jadi, jawaban yang tepat adalahD.

Salah satu syarat isomer gemoetri cis-trans pada alkena adalah di sebelah kiri dan kanan ikatan C=C harus mengikat 2 gugus yang berbeda.

Pada opsi D yaitu 2-heksena, gambar strukturnya adalah sebagai berikut.
 

begin mathsize 14px style H subscript 3 C – C H double bond C H – C H subscript 2 – C H subscript 2 – C H subscript 3 end style 
 

Jika dibuat sudut, masing-masing atom C dalam C=C memiliki 2 gugus yang berbeda dengan struktur dan nama sebagai berikut.
 


 

Dengan demikian, senyawa alkena yang memiliki isomer geometri cis-trans adalah 2-heksena.

Jadi, jawaban yang tepat adalah D.space 

Perdalam pemahamanmu bersama Master Teacher
di sesi Live Teaching, GRATIS!

3

Iklan

Pertanyaan serupa

Di antara senyawa-senyawa di bawah ini, senyawa yang mempunyai isomer geometri adalah ....

1

0.0

Jawaban terverifikasi

RUANGGURU HQ

Jl. Dr. Saharjo No.161, Manggarai Selatan, Tebet, Kota Jakarta Selatan, Daerah Khusus Ibukota Jakarta 12860

Coba GRATIS Aplikasi Roboguru

Coba GRATIS Aplikasi Ruangguru

Download di Google PlayDownload di AppstoreDownload di App Gallery

Produk Ruangguru

Hubungi Kami

Ruangguru WhatsApp

+62 815-7441-0000

Email info@ruangguru.com

[email protected]

Contact 02130930000

02130930000

Ikuti Kami

©2026 Ruangguru. All Rights Reserved PT. Ruang Raya Indonesia