Iklan

Pertanyaan

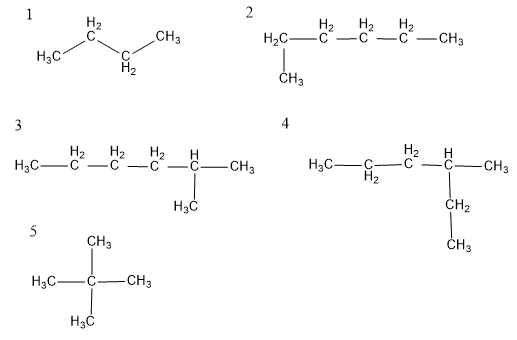
Buatlah nama senyawa dari struktur senyawa alkana berikut:

Buatlah nama senyawa dari struktur senyawa alkana berikut:

Ikuti Tryout SNBT & Menangkan E-Wallet 100rb

Habis dalam

02

:

03

:

02

:

17

Klaim

Iklan

I. Solichah

Master Teacher

Jawaban terverifikasi

Jawaban

maka jawaban yang tepat adalah sesuai penjelasan di atas.

maka jawaban yang tepat adalah sesuai penjelasan di atas.

Pembahasan

Tata nama IUPAC senyawa alkana sebagai berikut: Alkana rantai lurus diberi nama sesuai jumlah atom C-nya dan diberi awalan n -. Sedangkan alkana ranta bercabang mengikuti aturan berikut: Nama alkana dipilih berdasarkan rantai C terpanjang (rantai induk). Atom-atom C yang terletak di luar rantai utama merupakan cabang alkil. Penomoran atom C pada rantai utama dimulai dari ujung yang terdekat dengan cabang. Alkil-alkil yang tidak sejenis dituliskan berdasarkan urutan abjad. Alkil-alkil yang sejenis penulisannya digabung dengan diberi awalan di- (2), tri- (3), tetra- (4), penta- (5), dan seterusnya. Apabila salah satu atom C pada rantai utama mengikat dua gugus alkil, penulisan nomornya harus diulang. Alkil yang mengandung atom C terbanyak terikat pada atom C rantai utama dengan nomor terkecil. Apabila terdapat beberapa alternatif rantai terpanjang, dipilih yang mengandung cabang sebanyak mungkin. Sehingga struktur-struktur tersebut diberi nama (1) n -butana; (2) n- heksana; (3) 2-metilheksana; (4) 3-metilheksana dan (5) 2,2-dimetilpropana. Dengan demikian, maka jawaban yang tepat adalah sesuai penjelasan di atas.

Tata nama IUPAC senyawa alkana sebagai berikut:

Alkana rantai lurus diberi nama sesuai jumlah atom C-nya dan diberi awalan n-. Sedangkan alkana ranta bercabang mengikuti aturan berikut:

  • Nama alkana dipilih berdasarkan rantai C terpanjang (rantai induk).
  • Atom-atom C yang terletak di luar rantai utama merupakan cabang alkil.
  • Penomoran atom C pada rantai utama dimulai dari ujung yang terdekat dengan cabang.
  • Alkil-alkil yang tidak sejenis dituliskan berdasarkan urutan abjad.
  • Alkil-alkil yang sejenis penulisannya digabung dengan diberi awalan di- (2), tri- (3), tetra- (4), penta- (5), dan seterusnya.
  • Apabila salah satu atom C pada rantai utama mengikat dua gugus alkil, penulisan nomornya harus diulang.
  • Alkil yang mengandung atom C terbanyak terikat pada atom C rantai utama dengan nomor terkecil.
  • Apabila terdapat beberapa alternatif rantai terpanjang, dipilih yang mengandung cabang sebanyak mungkin.

Sehingga struktur-struktur tersebut diberi nama (1) n-butana; (2) n-heksana; (3) 2-metilheksana; (4) 3-metilheksana dan (5) 2,2-dimetilpropana.

Dengan demikian, maka jawaban yang tepat adalah sesuai penjelasan di atas.

Perdalam pemahamanmu bersama Master Teacher
di sesi Live Teaching, GRATIS!

5

Iklan

Pertanyaan serupa

Cermatilah senyawa berikut! Berilah namasenyawa tersebut berdasarkan aturan IUPAC!

2

0.0

Jawaban terverifikasi

RUANGGURU HQ

Jl. Dr. Saharjo No.161, Manggarai Selatan, Tebet, Kota Jakarta Selatan, Daerah Khusus Ibukota Jakarta 12860

Coba GRATIS Aplikasi Roboguru

Coba GRATIS Aplikasi Ruangguru

Download di Google PlayDownload di AppstoreDownload di App Gallery

Produk Ruangguru

Hubungi Kami

Ruangguru WhatsApp

+62 815-7441-0000

Email info@ruangguru.com

[email protected]

Contact 02130930000

02130930000

Ikuti Kami

©2026 Ruangguru. All Rights Reserved PT. Ruang Raya Indonesia