Iklan

Pertanyaan

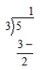
Bentuk pecahan campuran dari 15 25 ​ adalah ....

Bentuk pecahan campuran dari  adalah ....

  1. begin mathsize 12px style 1 1 half end style

  2. begin mathsize 12px style 1 2 over 3 end style

  3. begin mathsize 12px style 1 1 third end style

  4. begin mathsize 12px style 1 1 fourth end style

Ikuti Tryout SNBT & Menangkan E-Wallet 100rb

Habis dalam

02

:

12

:

06

:

55

Klaim

Iklan

M. Robo

Master Teacher

Jawaban terverifikasi

Jawaban

bentuk pecahan campurannya adalah

bentuk pecahan campurannya adalah begin mathsize 12px style 1 2 over 3 end style

Pembahasan

(karena pembilang dan penyebut dapat disederhanakan, maka kita sederhanakan dahulu, yaitu : Pembilang dalam pecahan tersebut nilainya lebih besar dari pada penyebut, maka pecahan biasa tersebut dapat diubah menjadi pecahan campuran, yaitu : (hasil bagi = 1, dan sisa =2) maka : Jadi, bentuk pecahan campurannya adalah

begin mathsize 12px style 25 over 15 end style (karena pembilang dan penyebut dapat disederhanakan, maka kita sederhanakan dahulu, yaitu :

fraction numerator 25 divided by 5 over denominator 15 divided by 5 end fraction equals 5 over 3

Pembilang dalam pecahan tersebut nilainya lebih besar dari pada penyebut, maka pecahan biasa tersebut dapat diubah menjadi pecahan campuran, yaitu :

(hasil bagi = 1, dan sisa =2)

maka :

begin mathsize 12px style 5 over 3 equals 1 2 over 3 end style

Jadi, bentuk pecahan campurannya adalah begin mathsize 12px style 1 2 over 3 end style

Perdalam pemahamanmu bersama Master Teacher
di sesi Live Teaching, GRATIS!

7

Iklan

Pertanyaan serupa

Bentuk pecahan biasa paling sederhana dari 30% adalah ....

2

5.0

Jawaban terverifikasi

RUANGGURU HQ

Jl. Dr. Saharjo No.161, Manggarai Selatan, Tebet, Kota Jakarta Selatan, Daerah Khusus Ibukota Jakarta 12860

Coba GRATIS Aplikasi Roboguru

Coba GRATIS Aplikasi Ruangguru

Download di Google PlayDownload di AppstoreDownload di App Gallery

Produk Ruangguru

Hubungi Kami

Ruangguru WhatsApp

+62 815-7441-0000

Email info@ruangguru.com

[email protected]

Contact 02130930000

02130930000

Ikuti Kami

©2025 Ruangguru. All Rights Reserved PT. Ruang Raya Indonesia