Iklan

Pertanyaan

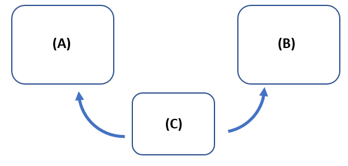
Bacalah paragraf berikut ini! Setiap hari Jumat sekolah harus mengadakan kegiatan Jumsih (Jumat Bersih). Untuk memperlancar kegiatan tersebut, para siswa diwajibkan membawa alat-alat kebersihan, seperti sapu lantai, kemoceng, sapu lidi dan lain-lain. Kegiatan Jum’at Bersih ini tidak hanya sekedar membersihkan lingkungan sekolah, tetapi juga mengadakan gerakan menghijaukan sekolah. Dari paragraf di atas dapat dibuat peta pikiran seperti berikut ini! Kalimat yang dapat diletakkan pada bagian (C) adalah ..

Bacalah paragraf berikut ini!

Setiap hari Jumat sekolah harus mengadakan kegiatan Jumsih (Jumat Bersih). Untuk memperlancar kegiatan tersebut, para siswa diwajibkan membawa alat-alat kebersihan, seperti sapu lantai, kemoceng, sapu lidi dan lain-lain. Kegiatan Jum’at Bersih ini tidak hanya sekedar membersihkan lingkungan sekolah, tetapi juga mengadakan gerakan menghijaukan sekolah.

Dari paragraf di atas dapat dibuat peta pikiran seperti berikut ini!

Kalimat yang dapat diletakkan pada bagian (C) adalah ..

  1. Membawa alat-alat sekolah

  2. Membersihkan lingkungan sekolah

  3. Alat-alat kebersihan pada Jumat Bersih

  4. Kegiatan jumsih pada hari Jumat

Ikuti Tryout SNBT & Menangkan E-Wallet 100rb

Habis dalam

02

:

19

:

08

:

49

Klaim

Iklan

M. Robo

Master Teacher

Jawaban terverifikasi

Pembahasan

Gagasan pokok disebut juga ide pokok. Ide pokok merupakan ide utama yang dibahas dalam suatu bacaan, bisa berupa inti kalimat atau berupa pokok paragraf. Pada peta pikiran di atas bagian (C) berisi gagasan pokok, sementara gagasan pokok pada paragraf di atas adalah “Kegiatan jumsih pada hari Jumat”

Gagasan pokok disebut juga ide pokok. Ide pokok merupakan ide utama yang dibahas dalam suatu bacaan, bisa berupa inti kalimat atau berupa pokok paragraf. Pada peta pikiran di atas bagian (C) berisi gagasan pokok, sementara gagasan pokok pada paragraf di atas adalah “Kegiatan jumsih pada hari Jumat”

Perdalam pemahamanmu bersama Master Teacher
di sesi Live Teaching, GRATIS!

1

Iklan

Pertanyaan serupa

Bacalah teks berikut ini! Masker wajah memiliki banyak fungsi yang sesuai dengan jenisnya. Masker lumpur dapat mengurangi lemak. Masker coklat dapat melembabkan kulit wajah. Masker bengkuang menghi...

2

3.0

Jawaban terverifikasi

RUANGGURU HQ

Jl. Dr. Saharjo No.161, Manggarai Selatan, Tebet, Kota Jakarta Selatan, Daerah Khusus Ibukota Jakarta 12860

Coba GRATIS Aplikasi Roboguru

Coba GRATIS Aplikasi Ruangguru

Download di Google PlayDownload di AppstoreDownload di App Gallery

Produk Ruangguru

Hubungi Kami

Ruangguru WhatsApp

+62 815-7441-0000

Email info@ruangguru.com

[email protected]

Contact 02130930000

02130930000

Ikuti Kami

©2026 Ruangguru. All Rights Reserved PT. Ruang Raya Indonesia