Iklan

Pertanyaan

  1. {2,4}

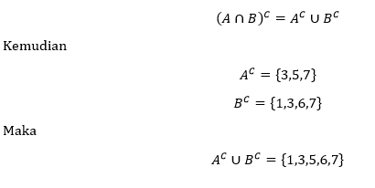
  2. {1,3,5,6,7}

  3. {2}

  4. {1,2,3,4}

Ikuti Tryout SNBT & Menangkan E-Wallet 100rb

Habis dalam

01

:

09

:

02

:

11

Klaim

Iklan

K. Putri

Master Teacher

Mahasiswa/Alumni Universitas Pendidikan Ganesha

Jawaban terverifikasi

Pembahasan

Perdalam pemahamanmu bersama Master Teacher
di sesi Live Teaching, GRATIS!

1

Iklan

Pertanyaan serupa

Diketahui: S = {x < 10, x bilangan asli} P = {2,4,6,7,8} Q = {2,3,5,7} Himpunan yang menyatakan komplemen dari P U Q adalah…

6

0.0

Jawaban terverifikasi

RUANGGURU HQ

Jl. Dr. Saharjo No.161, Manggarai Selatan, Tebet, Kota Jakarta Selatan, Daerah Khusus Ibukota Jakarta 12860

Coba GRATIS Aplikasi Roboguru

Coba GRATIS Aplikasi Ruangguru

Download di Google PlayDownload di AppstoreDownload di App Gallery

Produk Ruangguru

Hubungi Kami

Ruangguru WhatsApp

+62 815-7441-0000

Email info@ruangguru.com

[email protected]

Contact 02130930000

02130930000

Ikuti Kami

©2026 Ruangguru. All Rights Reserved PT. Ruang Raya Indonesia