Rafi R
02 Desember 2022 09:32
Iklan
Rafi R
02 Desember 2022 09:32
Pertanyaan
4
1
Iklan
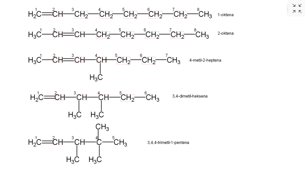
S. Zulaihah
Mahasiswa/Alumni Universitas Negeri Surabaya
07 Desember 2022 03:35

· 0.0 (0)
Iklan
Tanya ke AiRIS
Yuk, cobain chat dan belajar bareng AiRIS, teman pintarmu!

LATIHAN SOAL GRATIS!
Drill Soal
Latihan soal sesuai topik yang kamu mau untuk persiapan ujian


Perdalam pemahamanmu bersama Master Teacher
di sesi Live Teaching, GRATIS!