Ana A
10 Maret 2022 16:37
Iklan
Ana A
10 Maret 2022 16:37
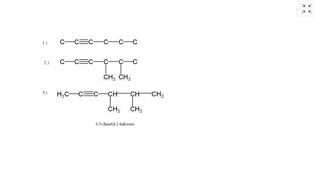
Pertanyaan
4
2
Iklan
S. Zulaihah
Mahasiswa/Alumni Universitas Negeri Surabaya
11 Maret 2022 15:13

· 0.0 (0)
Iklan
Azrisya A
01 Desember 2023 05:31
· 0.0 (0)
Tanya ke AiRIS
Yuk, cobain chat dan belajar bareng AiRIS, teman pintarmu!

LATIHAN SOAL GRATIS!
Drill Soal
Latihan soal sesuai topik yang kamu mau untuk persiapan ujian


Perdalam pemahamanmu bersama Master Teacher
di sesi Live Teaching, GRATIS!