Siti N
22 Januari 2022 23:35
Iklan
Siti N
22 Januari 2022 23:35
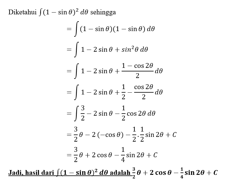
Pertanyaan
1
1
Iklan
N. Indriani
Mahasiswa/Alumni Universitas Negeri Yogyakarta
01 Februari 2022 10:58


· 0.0 (0)
Iklan
Tanya ke AiRIS
Yuk, cobain chat dan belajar bareng AiRIS, teman pintarmu!

LATIHAN SOAL GRATIS!
Drill Soal
Latihan soal sesuai topik yang kamu mau untuk persiapan ujian


Perdalam pemahamanmu bersama Master Teacher
di sesi Live Teaching, GRATIS!