Nana N
14 April 2023 03:19
Iklan
Nana N
14 April 2023 03:19
1
1
Iklan
Najm N
14 April 2023 08:39
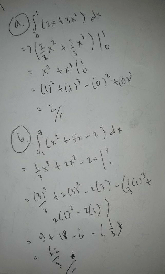
Gini kan?

· 0.0 (0)
Iklan
Tanya ke AiRIS
Yuk, cobain chat dan belajar bareng AiRIS, teman pintarmu!

LATIHAN SOAL GRATIS!
Drill Soal
Latihan soal sesuai topik yang kamu mau untuk persiapan ujian


Perdalam pemahamanmu bersama Master Teacher
di sesi Live Teaching, GRATIS!