Hc H
28 Agustus 2023 12:01
Iklan
Hc H
28 Agustus 2023 12:01
Pertanyaan
tolong dijawab ya

1
1
Iklan
Tjendana T

Community
28 Agustus 2023 13:01
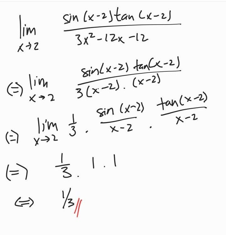
Jawaban ⅓
Lihat pd foto terlampir

· 0.0 (0)
Iklan
Tanya ke AiRIS
Yuk, cobain chat dan belajar bareng AiRIS, teman pintarmu!

LATIHAN SOAL GRATIS!
Drill Soal
Latihan soal sesuai topik yang kamu mau untuk persiapan ujian


Perdalam pemahamanmu bersama Master Teacher
di sesi Live Teaching, GRATIS!