Taruli M
09 Februari 2023 02:33
Iklan
Taruli M
09 Februari 2023 02:33
Pertanyaan
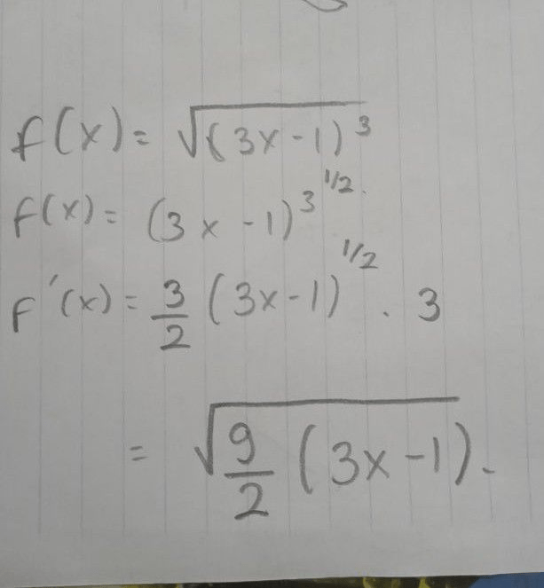
Tolong di jawab ya kak

2
1
Iklan
Cloudio E
09 Februari 2023 04:50
Berikut penjelasannya

· 0.0 (0)
Iklan
Tanya ke AiRIS
Yuk, cobain chat dan belajar bareng AiRIS, teman pintarmu!

LATIHAN SOAL GRATIS!
Drill Soal
Latihan soal sesuai topik yang kamu mau untuk persiapan ujian


Perdalam pemahamanmu bersama Master Teacher
di sesi Live Teaching, GRATIS!