Anggun S
24 Juli 2023 10:18
Iklan
Anggun S
24 Juli 2023 10:18
Pertanyaan
Tolong di bantu ya kak

1
3
Iklan
Owen.PejuangFreelanceMenyala O

Community
24 Juli 2023 10:37
Hai, ini pembahasan untuk soal kamu! Semoga membantu :D

· 5.0 (2)
Anggun S
24 Juli 2023 11:33
Terimakasih kak
Iklan
H. Eka
Mahasiswa/Alumni Universitas Pendidikan Indonesia
25 Juli 2023 04:11
Jawaban yang benar adalah d) -402 dan e) 180
Ingat!
Definisi notasi sigma:
∑(i=1 sampai n) ui = u1 + u2 + u3 + ... + un
Penyelesaian:
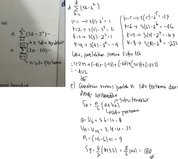
d) ∑(k=1 sampai 8) (3k - 2k)
= (3.1 - 21) + (3.2 - 22) + (3.3 - 23) + (3.4 - 24) + (3.5 - 25) + (3.6 - 26) + (3.7 - 27) + (3.8 - 28)
= (3 - 2) + (6 - 4) + (9 - 8) + (12 - 16) + (15 - 32) + (18 - 64) + (21 - 128) + (24 - 256)
= 1 + 2 + 1 + (-4) + (-17) + (-46) + (-107) + (-232)
= -402
e) ∑(n=6 sampai 14) (3n - 10)
= (3.6 - 10) + (3.7 - 10) + (3.8 - 10) + (3.9 - 10) + (3.10 - 10) + (3.11 - 10) + (3.12 - 10) + (3.13 - 10) + (3.14 - 10)
= (18 - 10) + (21 - 10) + (24 - 10) + (27 - 10) + (30 -10) + (33 - 10) + (36 - 10) + (39 - 10) + (42 - 10)
= 8 + 11 + 14 + 17 + 20 + 23 + 26 + 29 + 32
= 180
Jadi, diperoleh hasil d) -402 dan e) 180
· 5.0 (1)
GILANG A
30 Juli 2023 12:11
Ak ga tau
· 1.0 (1)
Tanya ke AiRIS
Yuk, cobain chat dan belajar bareng AiRIS, teman pintarmu!

LATIHAN SOAL GRATIS!
Drill Soal
Latihan soal sesuai topik yang kamu mau untuk persiapan ujian


Perdalam pemahamanmu bersama Master Teacher
di sesi Live Teaching, GRATIS!