Rista R
28 Maret 2020 12:21
Iklan
Rista R
28 Maret 2020 12:21
Pertanyaan
2
1
Iklan
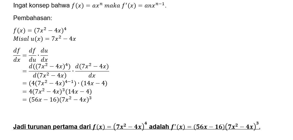
P. Vidya
Mahasiswa/Alumni Universitas Negeri Malang
07 Maret 2022 08:37
· 0.0 (0)
Iklan
Tanya ke AiRIS
Yuk, cobain chat dan belajar bareng AiRIS, teman pintarmu!

LATIHAN SOAL GRATIS!
Drill Soal
Latihan soal sesuai topik yang kamu mau untuk persiapan ujian


Perdalam pemahamanmu bersama Master Teacher
di sesi Live Teaching, GRATIS!