Anna G
05 Januari 2022 01:30
Iklan
Anna G
05 Januari 2022 01:30
Pertanyaan
9
2
Iklan
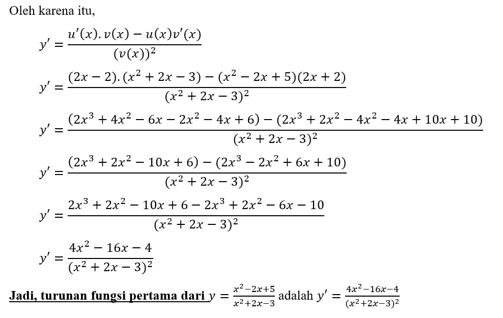
N. Indriani
Mahasiswa/Alumni Universitas Negeri Yogyakarta
07 Januari 2022 06:18


· 3.6 (5)
Iklan
Nda N
24 Maret 2022 00:42
· 0.0 (0)
Tanya ke AiRIS
Yuk, cobain chat dan belajar bareng AiRIS, teman pintarmu!

LATIHAN SOAL GRATIS!
Drill Soal
Latihan soal sesuai topik yang kamu mau untuk persiapan ujian


Perdalam pemahamanmu bersama Master Teacher
di sesi Live Teaching, GRATIS!