Kira F
26 Oktober 2021 01:55
Iklan
Kira F
26 Oktober 2021 01:55
Pertanyaan
1
1
Iklan
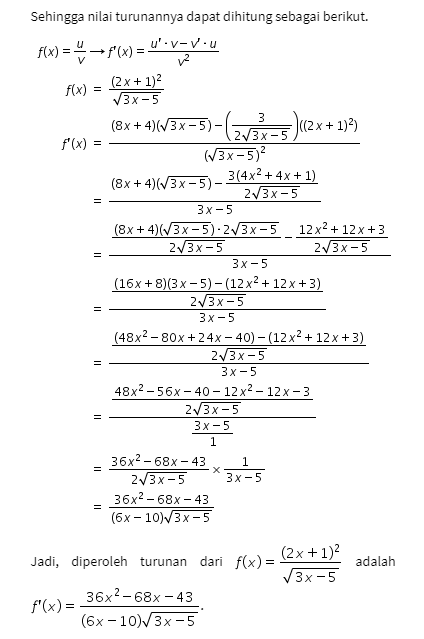
Y. Fathoni
Mahasiswa/Alumni Universitas Negeri Yogyakarta.
04 November 2021 07:24
· 5.0 (1)
Iklan
Tanya ke AiRIS
Yuk, cobain chat dan belajar bareng AiRIS, teman pintarmu!

LATIHAN SOAL GRATIS!
Drill Soal
Latihan soal sesuai topik yang kamu mau untuk persiapan ujian


Perdalam pemahamanmu bersama Master Teacher
di sesi Live Teaching, GRATIS!