Riski W
03 Maret 2022 15:16
Iklan
Riski W
03 Maret 2022 15:16
Pertanyaan
7
1
Iklan
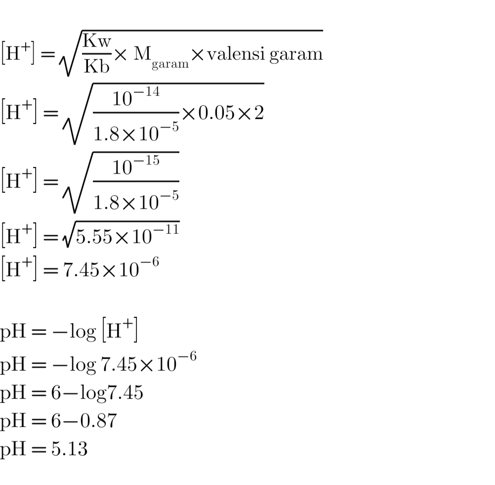
S. Zulaihah
Mahasiswa/Alumni Universitas Negeri Surabaya
05 Maret 2022 06:14

· 5.0 (1)
Iklan
Tanya ke AiRIS
Yuk, cobain chat dan belajar bareng AiRIS, teman pintarmu!

LATIHAN SOAL GRATIS!
Drill Soal
Latihan soal sesuai topik yang kamu mau untuk persiapan ujian


Perdalam pemahamanmu bersama Master Teacher
di sesi Live Teaching, GRATIS!