Kayra D
24 Januari 2023 04:02
Iklan
Kayra D
24 Januari 2023 04:02
Pertanyaan
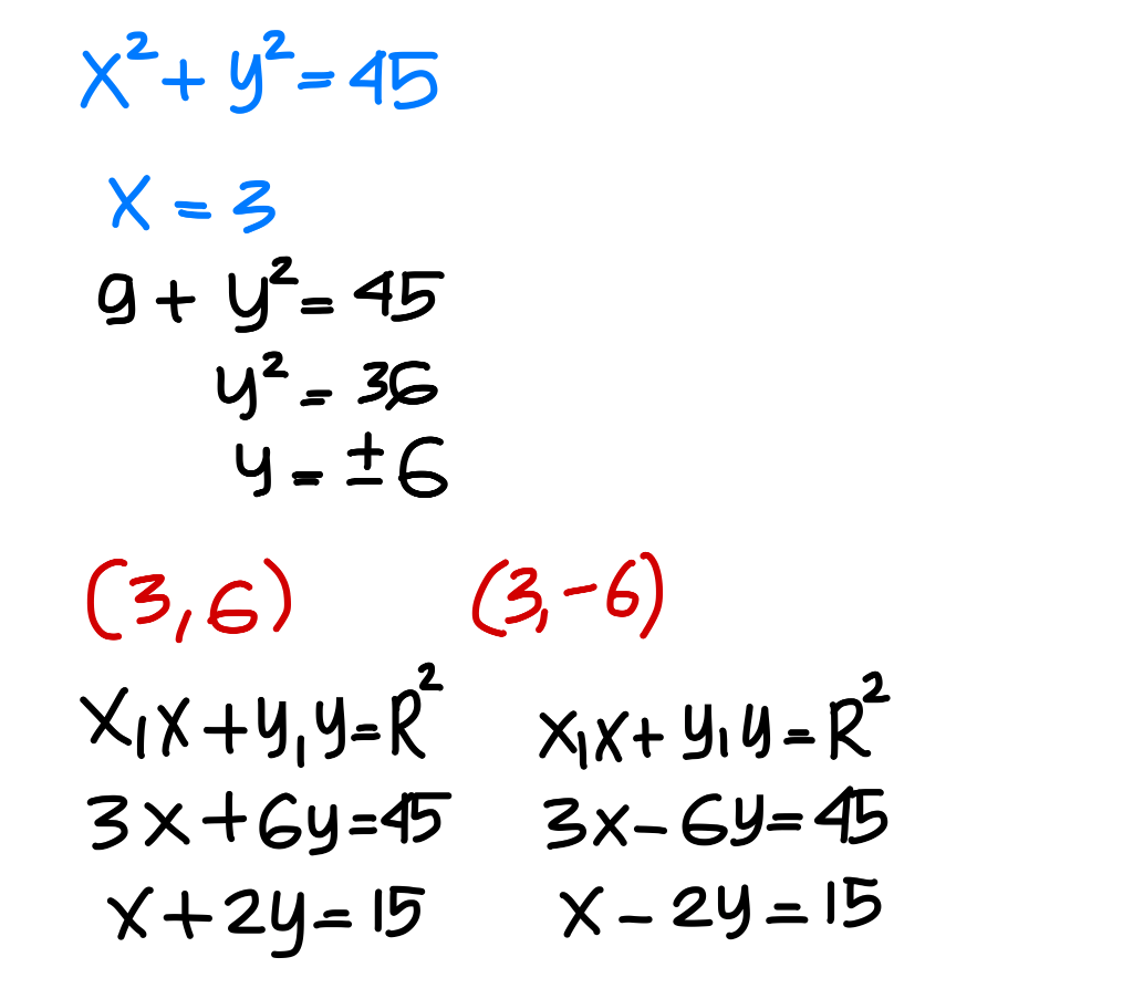
Tentukan persamaan garis singgung lingkaran x² + y² = 45 di titik yang berabsis 3!
1
1
Iklan
RICH E
24 Januari 2023 11:17
Lihat foto!

· 5.0 (1)
Iklan
Tanya ke AiRIS
Yuk, cobain chat dan belajar bareng AiRIS, teman pintarmu!

LATIHAN SOAL GRATIS!
Drill Soal
Latihan soal sesuai topik yang kamu mau untuk persiapan ujian


Perdalam pemahamanmu bersama Master Teacher
di sesi Live Teaching, GRATIS!