Salwa N
13 Februari 2023 06:00
Iklan
Salwa N
13 Februari 2023 06:00
Pertanyaan
1
1
Iklan
Nanda R

Community
13 Februari 2023 06:21
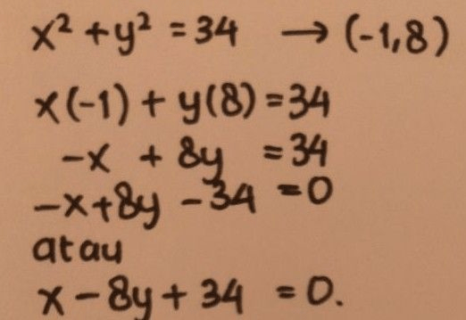
-x²+8y-34=0 atau x-8y+34=0.

· 0.0 (0)
Salwa N
13 Februari 2023 06:25
halo kak makasi sebelumnya, soalnya di ganti sama gurunya jadi (5,-4) titik singgung itu gmn ya kak ? 😔🙏🏻
Iklan
Tanya ke AiRIS
Yuk, cobain chat dan belajar bareng AiRIS, teman pintarmu!

LATIHAN SOAL GRATIS!
Drill Soal
Latihan soal sesuai topik yang kamu mau untuk persiapan ujian


Perdalam pemahamanmu bersama Master Teacher
di sesi Live Teaching, GRATIS!