Nadya S
03 Desember 2021 10:23
Iklan
Nadya S
03 Desember 2021 10:23
Pertanyaan
1
1
Iklan
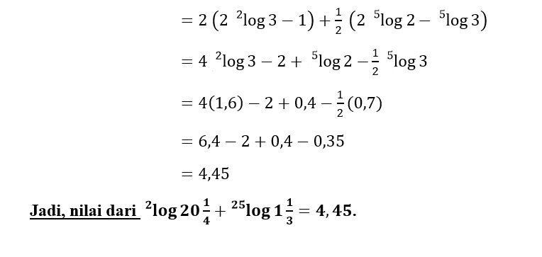
U. Istinaro
Mahasiswa/Alumni Universitas Negeri Surabaya
18 Desember 2021 17:18


· 0.0 (0)
Iklan
Tanya ke AiRIS
Yuk, cobain chat dan belajar bareng AiRIS, teman pintarmu!

LATIHAN SOAL GRATIS!
Drill Soal
Latihan soal sesuai topik yang kamu mau untuk persiapan ujian


Perdalam pemahamanmu bersama Master Teacher
di sesi Live Teaching, GRATIS!