Ann A
11 Februari 2022 00:58
Iklan
Ann A
11 Februari 2022 00:58
Pertanyaan
7
1
Iklan
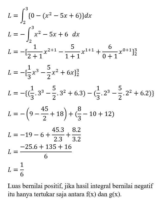
A. Imroatul
Mahasiswa/Alumni Institut Teknologi Sepuluh Nopember
01 Maret 2022 08:53
· 5.0 (1)
Iklan
Tanya ke AiRIS
Yuk, cobain chat dan belajar bareng AiRIS, teman pintarmu!

LATIHAN SOAL GRATIS!
Drill Soal
Latihan soal sesuai topik yang kamu mau untuk persiapan ujian


Perdalam pemahamanmu bersama Master Teacher
di sesi Live Teaching, GRATIS!