Luna S
08 November 2021 00:23
Iklan
Luna S
08 November 2021 00:23
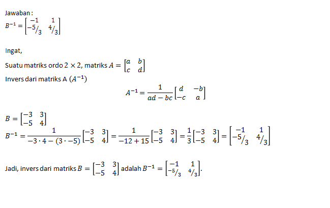
Pertanyaan
1
1
Iklan
M. Claudia
Mahasiswa/Alumni Universitas Nusa Cendana Kupang
12 November 2021 03:39
· 0.0 (0)
Iklan
Tanya ke AiRIS
Yuk, cobain chat dan belajar bareng AiRIS, teman pintarmu!

LATIHAN SOAL GRATIS!
Drill Soal
Latihan soal sesuai topik yang kamu mau untuk persiapan ujian


Perdalam pemahamanmu bersama Master Teacher
di sesi Live Teaching, GRATIS!