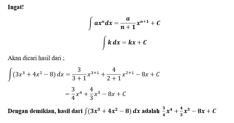
Mahkota D
25 Juni 2022 16:01
Iklan
Mahkota D
25 Juni 2022 16:01
Pertanyaan
12
1
Iklan
P. Raznia
12 Agustus 2022 16:06
· 2.0 (1)
Iklan
Tanya ke AiRIS
Yuk, cobain chat dan belajar bareng AiRIS, teman pintarmu!

LATIHAN SOAL GRATIS!
Drill Soal
Latihan soal sesuai topik yang kamu mau untuk persiapan ujian


Perdalam pemahamanmu bersama Master Teacher
di sesi Live Teaching, GRATIS!