NAYLA N

31 Oktober 2022 21:22
Iklan
NAYLA N

31 Oktober 2022 21:22
Pertanyaan
3
1
Iklan
W. Wati
01 November 2022 02:27
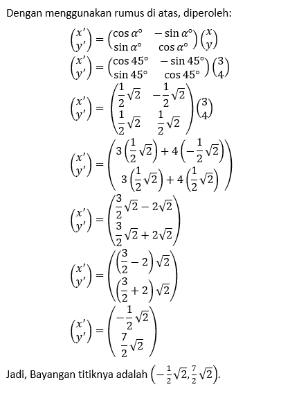
Jawaban yang benar adalah (-1/2 √2, 7/2 √2)
Perhatikan penjelasan berikut ini!
· 0.0 (0)
Iklan
Tanya ke AiRIS
Yuk, cobain chat dan belajar bareng AiRIS, teman pintarmu!

LATIHAN SOAL GRATIS!
Drill Soal
Latihan soal sesuai topik yang kamu mau untuk persiapan ujian


Perdalam pemahamanmu bersama Master Teacher
di sesi Live Teaching, GRATIS!