Roy H
05 Januari 2022 03:09
Iklan
Roy H
05 Januari 2022 03:09
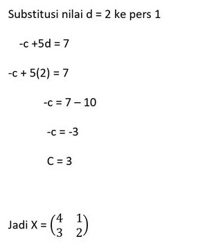
Pertanyaan
10
2
Iklan
S. Yoga
Mahasiswa/Alumni Universitas Pendidikan Indonesia
13 Februari 2022 07:57




· 5.0 (1)
Iklan
D. Mutia
10 Januari 2022 08:46


· 0.0 (0)
Tanya ke AiRIS
Yuk, cobain chat dan belajar bareng AiRIS, teman pintarmu!

LATIHAN SOAL GRATIS!
Drill Soal
Latihan soal sesuai topik yang kamu mau untuk persiapan ujian


Perdalam pemahamanmu bersama Master Teacher
di sesi Live Teaching, GRATIS!