Carissa N
23 Februari 2022 15:10
Iklan
Carissa N
23 Februari 2022 15:10
Pertanyaan
7
1
Iklan
S. Eka
Mahasiswa/Alumni Universitas Pendidikan Indonesia
23 Februari 2022 15:49
· 4.7 (3)
Balqis N
16 Februari 2025 15:39
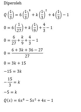
kak, yg Q(x) = 6x² + kx+4x-1 habis dibagi 3x-1 boleh tolong pakai cara pembagian polinom(pembagian biasa)?. Terimakasih kak.
Iklan
Tanya ke AiRIS
Yuk, cobain chat dan belajar bareng AiRIS, teman pintarmu!

LATIHAN SOAL GRATIS!
Drill Soal
Latihan soal sesuai topik yang kamu mau untuk persiapan ujian


Perdalam pemahamanmu bersama Master Teacher
di sesi Live Teaching, GRATIS!