Kania P
09 Mei 2022 04:59
Iklan
Kania P
09 Mei 2022 04:59
Pertanyaan
2
1
Iklan
D. Rosa
19 September 2022 06:22
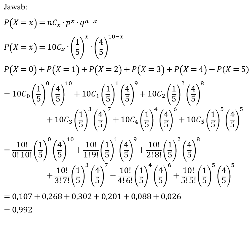
Jawabannya adalah 0,992
Untuk penjelasannya bisa dilihat pada gambar di bawah ini yaa.
Semoga membantu



· 0.0 (0)
Iklan
Tanya ke AiRIS
Yuk, cobain chat dan belajar bareng AiRIS, teman pintarmu!

LATIHAN SOAL GRATIS!
Drill Soal
Latihan soal sesuai topik yang kamu mau untuk persiapan ujian


Perdalam pemahamanmu bersama Master Teacher
di sesi Live Teaching, GRATIS!