Mino M
16 Februari 2022 07:44
Iklan
Mino M
16 Februari 2022 07:44
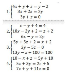
Pertanyaan
4
1
Iklan
K. LATIPAH
Mahasiswa/Alumni ""
20 Februari 2022 07:51
· 0.0 (0)
Iklan
Tanya ke AiRIS
Yuk, cobain chat dan belajar bareng AiRIS, teman pintarmu!

LATIHAN SOAL GRATIS!
Drill Soal
Latihan soal sesuai topik yang kamu mau untuk persiapan ujian


Perdalam pemahamanmu bersama Master Teacher
di sesi Live Teaching, GRATIS!