Lidia L
10 Februari 2023 01:14
Iklan
Lidia L
10 Februari 2023 01:14
Pertanyaan
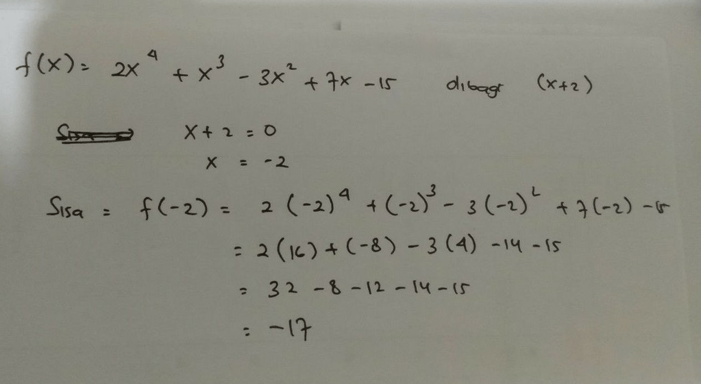
Sisa pembagian polinomial 2x4 + x³ - 3x² + 7x - 15 oleh (x + 2) adalah
1
1
Iklan
NUR M
10 Februari 2023 01:40
menggunakan teorema sisa diperoleh

· 4.2 (10)
Iklan
Tanya ke AiRIS
Yuk, cobain chat dan belajar bareng AiRIS, teman pintarmu!

LATIHAN SOAL GRATIS!
Drill Soal
Latihan soal sesuai topik yang kamu mau untuk persiapan ujian


Perdalam pemahamanmu bersama Master Teacher
di sesi Live Teaching, GRATIS!