Meta M
03 Juni 2022 16:01
Iklan
Meta M
03 Juni 2022 16:01
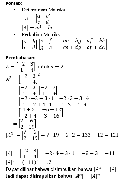
Pertanyaan
1
1
Iklan
M. Firdaus
04 Juni 2022 15:35
· 0.0 (0)
Iklan
Tanya ke AiRIS
Yuk, cobain chat dan belajar bareng AiRIS, teman pintarmu!

LATIHAN SOAL GRATIS!
Drill Soal
Latihan soal sesuai topik yang kamu mau untuk persiapan ujian


Perdalam pemahamanmu bersama Master Teacher
di sesi Live Teaching, GRATIS!