Gracias M
14 Januari 2022 01:53
Iklan
Gracias M
14 Januari 2022 01:53
Pertanyaan
1
1
Iklan
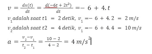
T. Dian
10 Agustus 2022 07:50
· 0.0 (0)
Iklan
Tanya ke AiRIS
Yuk, cobain chat dan belajar bareng AiRIS, teman pintarmu!
Roboguru Plus
Dapatkan pembahasan soal ga pake lama, langsung dari Tutor!


Perdalam pemahamanmu bersama Master Teacher
di sesi Live Teaching, GRATIS!