Aldebaran A
16 Februari 2023 17:33
Iklan
Aldebaran A
16 Februari 2023 17:33
Pertanyaan
4
1
Iklan
Sendiko J
17 Februari 2023 07:27
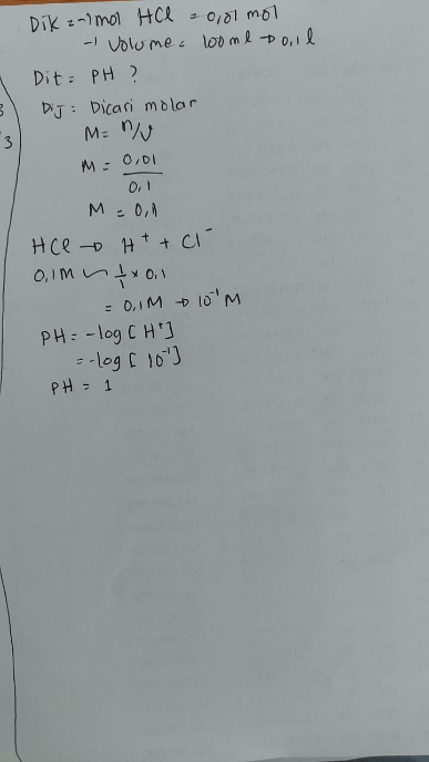
pH = 1

· 0.0 (0)
Iklan
Tanya ke AiRIS
Yuk, cobain chat dan belajar bareng AiRIS, teman pintarmu!

LATIHAN SOAL GRATIS!
Drill Soal
Latihan soal sesuai topik yang kamu mau untuk persiapan ujian


Perdalam pemahamanmu bersama Master Teacher
di sesi Live Teaching, GRATIS!