Yolamnda Y
29 Januari 2022 18:33
Iklan
Yolamnda Y
29 Januari 2022 18:33
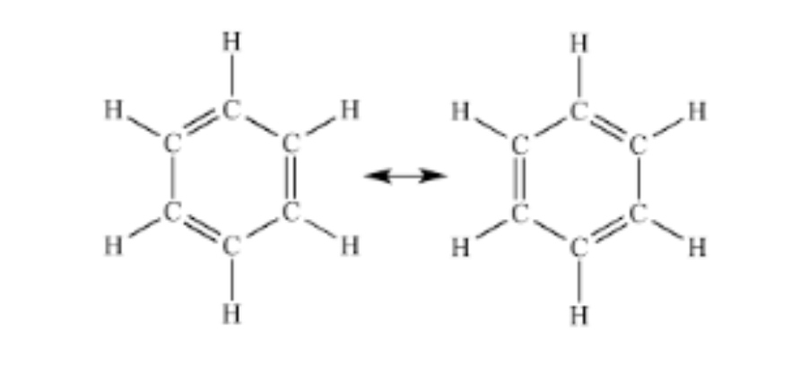
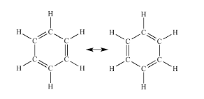
Pertanyaan
18
1
Iklan
L. Mufidah
02 Februari 2022 07:14

· 5.0 (1)
Iklan
Tanya ke AiRIS
Yuk, cobain chat dan belajar bareng AiRIS, teman pintarmu!

LATIHAN SOAL GRATIS!
Drill Soal
Latihan soal sesuai topik yang kamu mau untuk persiapan ujian


Perdalam pemahamanmu bersama Master Teacher
di sesi Live Teaching, GRATIS!