Mawar E
01 Februari 2023 13:33
Iklan
Mawar E
01 Februari 2023 13:33
Pertanyaan
1
1
Iklan
R. Maiza
Mahasiswa/Alumni Institut Teknologi Bandung
06 Juli 2023 09:50
Jawaban yang benar adalah 1,5 A.
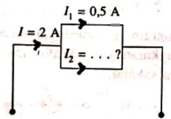
Diketahui :
I = 2 A
I1 = 0,5 A
Ditanya :
I2 ?
Penyelesaian :
Bunyi Hukum I Kirchhoff adalah: "Jumlah arus listrik yang masuk ke suatu titik cabang dalam rangkaian listrik tertutup, akan sama dengan jumlah arus listrik yang keluar dari titik cabang tersebut".
I masuk = I keluar
I masuk = I keluar
I = I1 + I2
2 = 0,5 + I2
I2 = 2 - 0,5
I2 = 1,5 A
Jadi, kuat arus (I2) adalah 1,5 A.
· 0.0 (0)
Iklan
Tanya ke AiRIS
Yuk, cobain chat dan belajar bareng AiRIS, teman pintarmu!

LATIHAN SOAL GRATIS!
Drill Soal
Latihan soal sesuai topik yang kamu mau untuk persiapan ujian


Perdalam pemahamanmu bersama Master Teacher
di sesi Live Teaching, GRATIS!