Suci M
13 Agustus 2023 02:18
Iklan
Suci M
13 Agustus 2023 02:18
Pertanyaan
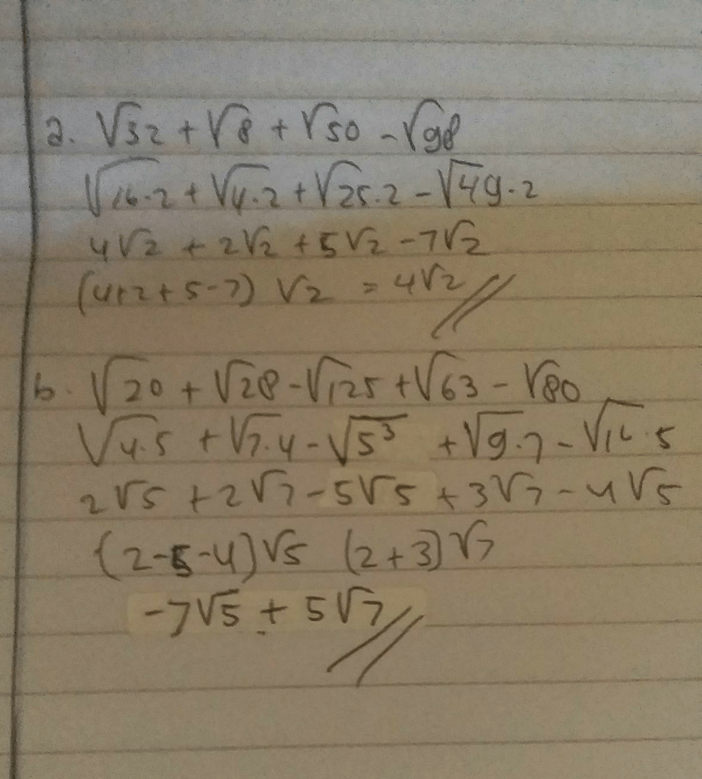
penjumlahan dan pengurangan bentuk akar:
a)√32+√8+√50-√98
b)√20+√28-√125+√63-√80
3
1
Iklan
Dsnee D
13 Agustus 2023 04:03

· 0.0 (0)
Suci M
13 Agustus 2023 04:04
terimakasii kakk
Iklan
Tanya ke AiRIS
Yuk, cobain chat dan belajar bareng AiRIS, teman pintarmu!

LATIHAN SOAL GRATIS!
Drill Soal
Latihan soal sesuai topik yang kamu mau untuk persiapan ujian


Perdalam pemahamanmu bersama Master Teacher
di sesi Live Teaching, GRATIS!