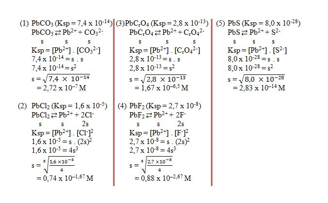
Zhongli Z
09 Maret 2022 05:06
Iklan
Zhongli Z
09 Maret 2022 05:06
Pertanyaan
2
1
Iklan
I. Lismarina
Mahasiswa/Alumni Universitas Negeri Malang
12 Maret 2022 19:01
· 5.0 (1)
Iklan
Tanya ke AiRIS
Yuk, cobain chat dan belajar bareng AiRIS, teman pintarmu!

LATIHAN SOAL GRATIS!
Drill Soal
Latihan soal sesuai topik yang kamu mau untuk persiapan ujian


Perdalam pemahamanmu bersama Master Teacher
di sesi Live Teaching, GRATIS!