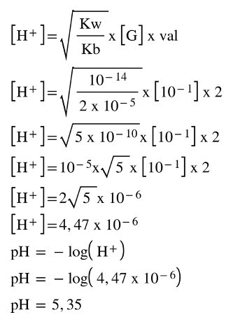
Ica A
22 Februari 2022 14:01
Iklan
Ica A
22 Februari 2022 14:01
Pertanyaan
10
1
Iklan
R. Rara
23 Februari 2022 10:52


· 5.0 (2)
Iklan
Tanya ke AiRIS
Yuk, cobain chat dan belajar bareng AiRIS, teman pintarmu!

LATIHAN SOAL GRATIS!
Drill Soal
Latihan soal sesuai topik yang kamu mau untuk persiapan ujian


Perdalam pemahamanmu bersama Master Teacher
di sesi Live Teaching, GRATIS!