Lena L
28 Januari 2023 07:04
Iklan
Lena L
28 Januari 2023 07:04
Pertanyaan
1
1
Iklan
S. SheilaTeacherAssisstant
Mahasiswa/Alumni Universitas Pancasila
08 Agustus 2023 05:32
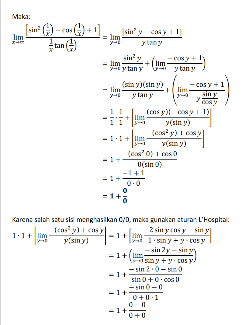
Jawaban: B. ½.
Perhatikan pembahasannya pada gambar berikut ya.



· 0.0 (0)
Iklan
Tanya ke AiRIS
Yuk, cobain chat dan belajar bareng AiRIS, teman pintarmu!

LATIHAN SOAL GRATIS!
Drill Soal
Latihan soal sesuai topik yang kamu mau untuk persiapan ujian


Perdalam pemahamanmu bersama Master Teacher
di sesi Live Teaching, GRATIS!