Siti U
09 Februari 2023 13:15
Iklan
Siti U
09 Februari 2023 13:15
Pertanyaan
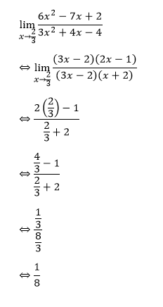
Nilai lim x->2/3 6x²-7x+2/3x²+4x-4 adalah...

3
1
Iklan
NUR M
09 Februari 2023 17:30
Berikut jawabannya

· 5.0 (2)
Iklan
Tanya ke AiRIS
Yuk, cobain chat dan belajar bareng AiRIS, teman pintarmu!

LATIHAN SOAL GRATIS!
Drill Soal
Latihan soal sesuai topik yang kamu mau untuk persiapan ujian


Perdalam pemahamanmu bersama Master Teacher
di sesi Live Teaching, GRATIS!