Silvia W
05 Desember 2021 09:35
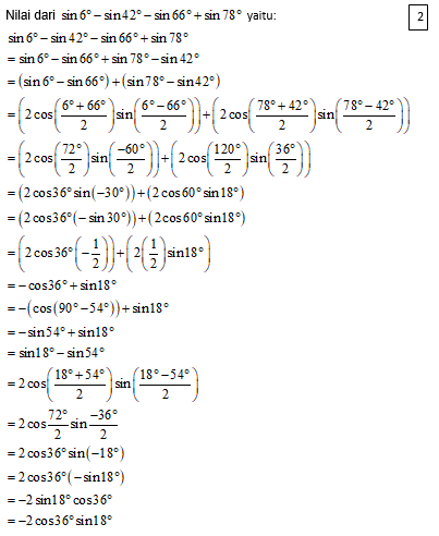
Iklan
Silvia W
05 Desember 2021 09:35
Pertanyaan
1
1
Iklan
T. Prita
Mahasiswa/Alumni Universitas Negeri Jember
08 Desember 2021 07:44
· 0.0 (0)
Iklan
Tanya ke AiRIS
Yuk, cobain chat dan belajar bareng AiRIS, teman pintarmu!

LATIHAN SOAL GRATIS!
Drill Soal
Latihan soal sesuai topik yang kamu mau untuk persiapan ujian


Perdalam pemahamanmu bersama Master Teacher
di sesi Live Teaching, GRATIS!