Naila R
30 Oktober 2025 14:12
Iklan
Naila R
30 Oktober 2025 14:12
Pertanyaan
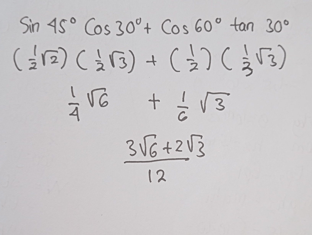
Nilai dari sin 45° cos 30° + cos 60° tan 30°
yang bisa tolong dijawab yaa man-temaan
18
2
Iklan
Farid A
02 November 2025 13:20
Sin 45° coba 30° + cos 60° tan 30° = 3√6 + 2√3 = 0,67
12
· 5.0 (1)
Iklan
Dara J
31 Oktober 2025 03:38
Izin menjawab

· 0.0 (0)
Tanya ke AiRIS
Yuk, cobain chat dan belajar bareng AiRIS, teman pintarmu!

LATIHAN SOAL GRATIS!
Drill Soal
Latihan soal sesuai topik yang kamu mau untuk persiapan ujian


Perdalam pemahamanmu bersama Master Teacher
di sesi Live Teaching, GRATIS!