Wahyu A
30 Maret 2023 05:54
Iklan
Wahyu A
30 Maret 2023 05:54
Pertanyaan
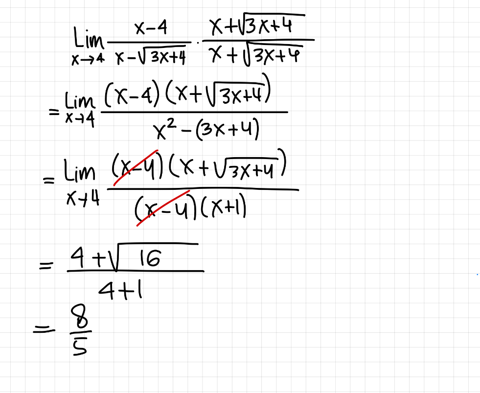
Nilai dari lim x -> 4 (x - 4)/(x - sqrt(3x + 4)) =
.jpg?convert=png)
1
1
Iklan
RICH E
30 Maret 2023 06:17
Tes

· 5.0 (1)
Iklan
Tanya ke AiRIS
Yuk, cobain chat dan belajar bareng AiRIS, teman pintarmu!

LATIHAN SOAL GRATIS!
Drill Soal
Latihan soal sesuai topik yang kamu mau untuk persiapan ujian


Perdalam pemahamanmu bersama Master Teacher
di sesi Live Teaching, GRATIS!